
DKオンラインの概要については上の文書にぜひ、目を通してください
(画像サイズが小さくてプリントしても見づらい!というご意見が複数寄せられたので直しました!ごめんなさい)
****************************
DKオンラインは、1度登録したら中学卒業まで、
いつでもサポートを利用できます
英語受講、数学受講両方、またはいずれかの登録をしていればもちろんですが、
英語も数学も受講しない、という場合でも、
いざというときの質問解説のサポートを受けるために登録しておくこともできます
登録料はかかりません
たとえば塾に通っている、
たとえばホームスクールで全科目ひとりで進めている、
などという場合にも、DKの解説を希望する場合は、
登録しておけば中学3年間はサポート致します
【質問対応】
国数英理社全ての科目の解説ができます
英語登録生でDONGLISHを進めている生徒さんは英語の、
数学登録生で全解きのノートを提出している生徒さんの数学の質問は、
受講料に含みますので別途質問解説の受講料は請求されません
DKテキスト以外からの質問、学校のテストや宿題の質問もできます
英語講座、数学講座を受講していない場合の英語と数学、
そして、国語、理科、社会に関しても、
質問への解説ができますので、
希望する場合は登録をしておき、活用してください
【質問の仕方】
質問をするには解説者への配慮が必要です
特に、目の前でテキストやノートを開いて質問できるわけではなく、
オンライン(メールのやりとり)での質問になるので、相手がわかるように質問しないといけません
質問をする、という機会は、中学、高校を卒業しても、大人になっても何度もあります
上手な「質問の仕方」を練習していきましょう
●問題文が全部見えること
●模範解答を添えること
●できれば自分ではどこまで解けて、どこまで理解できているか、模範解答や解説を見たり書き写したりしても、わからない点があり、それがどこかのかを明記すること
●数学の図形の問題は質問するときは図形を大きく描いてから
●問題が長文やグラフなどの画像を含む場合はコピーを貼付してもかまいません
ダメ質問例①
問題集からなのか、教科書からなのか、テストからなのか、
出典不明
問題番号も模範解答もありません
自分で解いてもいません
ダメ質問例②
問題そのものが書いてありません
模範解答も書いてありません
ダメ質問例③
おしい。
問題集のページと問題番号、問題も書いてあるけど、
模範解答がありません
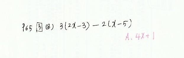
ダメ質問例④
これまた惜しい
模範解答はあるけど、これでは無言でノートを突き出しているのと同じです
もうひとこえ!
よい質問例
問題のページ、問題番号、模範解答も見やすく書いてあり、
自分で解き直しています
でも、解答と違っていて、「Q なんで?」と問いかけがありますね
これなら解説が書けます
すでに登録してある受講中のみなさん、
上記のいろいろな質問の仕方で、最も解説が書きやすいのはどれか、一目瞭然ですね
以前、どうしても解説が書けず、何時間も悩んだ末に「解説ができない、この解答にならない」と連絡したら、解答を書き写し間違えていたことがありました
何時間もの時間をロスしてしまいました
だから、お互い同じ問題集を持ち、ページや問題番号を明記してもらっています
そうすれば、たとえ正解を書き写し間違えても、DKでチェックすることができるからです
困るのは学校の問題集など、DKにない問題集やテストなどの質問です
その場合は、気をつけて間違えないように書き写しましょう
(または正答や解説のコピーを貼付しましょう)
そのような経験も、重ねていくうちにどんどん失敗はなくなります
自分が質問されるならどのように書かれていたら解説が書きやすいか、
また、無言でノートを突き出すのと、自分なりの考えや希望など、メモを添えるのと添えないのとで相手がどのように受けとめるか、考えたら誰にでもわかることだと思うので、ぜひ、そういうことも経験してほしいと思っています
そして、もし自分が誰かに質問されて答えたら、そのあと、どうしますか?
自分が説明したことを、相手がどのように受けとめたのか、気になりませんか?
質問して、解説を受けた場合、その後、納得できるまで何度でも質問を続けられますが、DKの解説の目的は「次は自力で解けること」です
自力で解けた証も、できれば見せてほしいです(解き直して、納得できたことを伝えてください)
最初は質問も上手にできないかもしれません
でも、上手にできるまで、質問の仕方も教えますので、心配は要りません
失敗は誰にでも起こりえます
大事なのは、対人間の場合、失敗したらどう対処すべきか、考えるということです
私たち人間は言葉を駆使することができます
一生懸命相手に気持ちを言葉で伝えれば、伝わるのです
心配せず、失敗を恐れず、中学3年間でいろいろな力を身につけましょう
立派な人間に成長できますよ
*************************
英語と数学、または英語か数学の登録生は
実教室にいつでもスクーリング(教室での対面受講)に来られます(群馬県高崎市ですが…)
今年から、継続的に教材や全解きを提出している登録生は無料でスクーリングに来ていただけることにしました(無料受講は月2回まで)(通常、単発受講は有料です)
通常は木曜日の夜間に実教室は開室していますが、
夏休み中など、教室開放の日を設けることがあります
もし、実教室で勉強してみたかったらそのような日にスクーリングを計画してみてはいかがでしょうか
教室開放の日などは決まり次第教室のホームページなどで公開します
*************************
勉強に行き詰まった…
もっと具体的にアドバイスがほしい…
そんなときは、さとちゃんと30分の面談をしましょう
月1回30分は無料でzoom面談が予約できます
予約フォームはこちら
科目の質問でも、
進路相談でも、
恋の相談でも…
なんでもどうぞ
*************************
毎年、夏に行っている「どんぐり学舎 川遊び合宿」ですが、
今年度は「中高生の学習室」を同時開催予定です
DK登録中の中学生や、DKを卒業した高校生がお互いが教え合い、学び合う教室として開室予定です
大学生や社会人のOG,OBも、ボランティアで参加してくれるかもしれません
また、せっかくですから小学生たちと川遊びもする予定です
こちらも、詳細が決まり次第、ホームページなどで告知予定です
これを目にしたOB,OGのみなさん、ぜひぜひ、学習補助ボランティアとして協力してくださいね
ご連絡お待ちしています
************************
以下、保護者さまへ
上記したように、英語の登録生は英語の、数学の登録生は数学の質問解説の代金は頂戴しません
それ以外の科目、また、質問解説のみの登録の場合は以下の通りです
質問解説料 1項目2000円
事務局で記録し、後日請求書を送付致します
月末に、その月の質問の数をまとめて請求致します
お子さんと話し合っておき、月の質問数の上限を決めておいたり、
事務局に予めその旨連絡しておいていただければ、
月額の請求額に上限を設け、多額の請求にならないように致します
わかるまで何度でも解説をやりとりします
1度の解説で解決しなかったら、生徒さんが納得するまで続けます
******************************
DKオンラインに関する説明は以上です(3部作)
細かな質問や、私が説明し忘れていることがあるかもしれないので、
どうか遠慮なくなんでもメールで質問してください
さて、
来週は
どんぐり学舎オンラインに関する説明をブログでする予定です
●個別どんぐりオンラインについて
●わいわいどんぐりオンラインについて
告知まで少々お待ちください